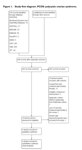
本日は、コクランレビューから多嚢胞性卵巣症候群に対するシステマチックレビューの報告を読みました。全ページで56ページほどあるので、読むのに苦労しましたが、簡略化してみます。 Lim CED, et.al. Acupuncture for polycystic ovarian syndrome. Cochran…
引用をストックしました
引用するにはまずログインしてください
引用をストックできませんでした。再度お試しください
限定公開記事のため引用できません。